INTRODUCTION
The VLF (Very Low Frequency) part of the electromagnetic spectrum is defined as covering the range from 3 to 30 kHz. There are natural signals that exist in this range in space, but they have not been used for man made communication away from the Earth. It has been used for terrestrial communication, particularly for communication with submarines.
VLF, with wavelengths from 10 to 100 km and the existence of an ionosphere around the Earth offers reliable worldwide propagation although it does require high power to achieve this. It has been used for navigation, standard signalling and where surface penetration is required.
VLF also has scientific uses to explore the near space environment and as means of radiation belt remediation when upper atmospheric nuclear detonations have contaminated this environment with artificially enhanced radiation belts.
VLF TRANSMITTERS

VLF propagation requires large and powerful transmitters and large antennae. The latter are usually one electrical quarter wave electrical antenna. Because it is not possible to make a physical quarter wave vertical antenna, a shorter physical antenna is bottom loaded with a large inductance and top loaded with 'top hat' capacitance to produce the electrical quarter wave.

Because of the high powers involved VLF transmitters continued to use vacuum tube technology long after higher frequency equipment was fully solid state. US VLF transmitter manufacturers included Continental and Collins (Rockwell Collins).

The diagram below shows a full VLF transmitting station with not only the transmitter but also the loading inductors.

Powers range from a few tens of kilowatts to over a megawatt. Most final power amplifiers are still vacuum tube although exciters and intermediate power amps have mostly been converted to solid state electronics. The image below right shows the ceramic vacuum tubes of the final power amplifier sitting on metallic stands containing fluid to remove the large amount of heat produced.
![]() |
![]() |
Transmitting efficiencies range from 10 to 50%, mostly dependent upon the antenna and the conductivity of the ground on which it stands. It is sometimes arranged to flood the terrain underneath the antenna to increase its conductivity, particularly during times of drought.
A large one megawatt VLF station may require its own power station (of 2MW capacity in the case of 50% transmitter efficiency) to supply the power involved. Backup generators must be able to assume the load within seconds if continuous transmission is required for security purposes.
Because of the limited bandwidth available at these frequencies, modulation is generally one of the following:
Minimum shift keying is the preferred variant which changes the signal phase smoothly at the signal max or min values (instead of at the zero crossing points). This places less strain on the power system. OOK is particularly bad in this regard as the power station fluctuations are intense.
Bandwidth is typically 50 to 200 Hz. The wider bandwidth is often multiplexed between 2 to 4 modulation sources or streams (channels).
NWC 19.8 kHz from North West Cape, Western Australia, with a radiated power of approximately 1 MW. Modulation 200 baud MSK split into 4 channels. Three channels are used by the US Navy, the fourth by the Royal Australian Navy. The original frequency of this transmitter was 22.3 kHz .
VL3DEF 18.6 kHz from Woodside (near East Sale) in Victoria. Antenna is a 432 metre high grounded lattice steel guyed mast. Power is believed to be a few tens of kilowatts. This transmitter and antenna used to be part of the worldwide Omega navigation system, which the Royal Australian Navy acquired when the Omega system was made obsolete by the GPS system. This transmitter is no longer in operation.
| Frequency> | Transmitter |
|---|---|
| 18.20 - 18.40 | Le Blanc, France, 46:37N 1:05E |
| 19.48 - 19.68 | Anthorn, UK 54:54N 3:18W |
| 22.05 - 22.15 | Skelton, UK, 54:42:24N 2:53:06W |
| 23.30 - 23.50 | Burlage, Germany, 53:05N 7:37E |
| 20.19 - 20.34 | Tavolara, Italy, 40:55N 9:45E |
| 16.30 - 16.50 | Novik(en), Norway, 66:58N 13:54E |
SEA PENETRATION
Signal is reduced by the factor 1/e=0.37 at a distance below the surface equal to the skin depth δ, where: δ ≈ 500 / √( σ f ) where f is the frequency and σ is the conductivity. For sea water, σ=4 S/m and fresh water σ=10-3 S/m. The following table gives the signal power reduction for depths below a sea water surface ( δ ≈ 2m for sea water).

Twenty metres is probably the maximum receive depth in normal seawater (35 ppm salt).
RECEIVE ANTENNAS
![]() |
![]() |
If greater depth penetration is required, ELF signals (70-90 Hz) have been used. These are essentially bell-ringers (ie "move to VLF depth for further messages").
VLF RECEIVERS

Most modern submarine receivers are now mostly software defined with lots of DSP (Digital Signal Processing) power. Typically frequency range for these communications are from about 15 to 25 kHz.
Simple VLF receivers can be built using the sound card on a PC and a spectral display program. (A preamp with a high pass filter - to remove 50 Hz, etc may be required). The World Wide Lightning Location Network (WWLLN) uses this approach and realtime Rx output from stations around the world is available on the web. Stanford University has a VLF receiving project as part of the IHY (International Heliospheric Year) initiative. The following images show some displays from WWLLN stations. Frequency is on the 'y' axis and time is on the x-axis.



Note: The North West Cape transmitter on 19.8kHz can just be seen on the previous Israeli spectral display. It cannot be seen on a similar display at the University of Sheffield, England.
Below is the snapshot in time of a frequency spectrum from a mediterranean receiving station:

Lastly there is an image of an ELF (Extremely low frequency) spectrum from 0 - 85 Hz showing the US Wisconsin ELF transmitter at 82 Hz.

VLF PROPAGATION
VLF propagation can be dealt with mathematically using either waveguide or the more conventional "wave-hop" theory. The latter is more suited to distances less than 2000km and also to illustrate the sudden phase advance (SPA) effect. Waveguide theory is more useful for distances > 1000 km. Several models for VLF propagation are available, some very simple formulae, others require complex multimodal waveguide formulations. As is often the case, empirical models are usually best.

The nulls (top graph above) near the transmitter (<1000km) are due to ground-sky wave interference. Further away they are due to interference between different modes.

The graph above shows the time variation of VLF signal strength over a 24 hour period. At night, the upper boundary of the waveguide is high enough to have a low collision frequency and so appears "hard" to the signal giving increased signal strength. In the day, the boundary is lower down with a high collision frequency giving a "soft" boundary.


During disturbed ionospheric conditions (eg from solar induced geomagnetic activity), the waveguide boundary will fluctuate producing rapid fading or scintillation of the VLF signal. The upper panel in the above image shows continuous low frequency scintillation. The lower panel shows a sudden onset high frequency scintillation coincident with a lightning discharge.
PROPAGATION MODELS
A simple model valid for daytime propagation over water gives signal strengths for a one megawatt transmitter. The signal strengths are in dB(microvolts/metre/
DISTANCE (km) FREQUENCY (kHz)
5 10 15 20 25 30
1000 41.8 41.5 41.2 41.0 40.7 40.5
2000 39.9 39.2 38.7 38.2 37.7 37.3
3000 38.6 37.6 36.8 36.1 35.4 34.7
4000 37.6 36.3 35.2 34.2 33.3 32.4
5000 36.7 35.1 33.8 32.5 31.4 30.2
6000 35.9 34.1 32.5 31.0 29.5 28.2
7000 35.3 33.1 31.2 29.5 27.8 26.3
8000 34.7 32.2 30.0 28.0 26.1 24.4
9000 34.1 31.4 28.9 26.7 24.5 22.5
10000 33.7 30.6 27.8 25.3 23.0 20.8
11000 33.2 29.8 26.8 24.1 21.5 19.0
12000 32.9 29.1 25.9 22.9 20.1 17.4
At around 20 kHz and at distances greater than 1000km from the transmitter, the attenuation rates for the VLF signal are approximately:
Daytime: 2 - 4 dB / Mm
In rural and remote areas the VLF noise floor is determined by the global thunderstorm activity (below).

The graph below shows the experimental and theoretical attenuation constant of the Earth-Ionosphere waveguide as a function of frequency.

Detailed VLF propagation models require knowledge of the waveguide upper and lower boundaries along the path. The lower ground boundary is specified by conductivity, permittivity and permeability. The upper ionospheric boundary is specified by electron density, collision frequency and magnetic field.

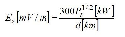
The simplest mathematical propagation model is given by the formula:

A more useful model is the semi-empirical model of Pierce for daytime propagation over water:

where
f is the frequency in kHz
d is the distance from the transmitter
a is the radius of the Earth

VLF PROPAGATION RULES OF THUMB
VLF PROPAGATION PREDICTION MODEL

SOME ENGINEERING VLF REFERENCES
[1] “VLF Radio Engineering”, Arthur D. Watt, Pergamon Press, 1967
[2] “High Power Very Low Frequency/Low Frequency Transmitting Antennas”, Peder Hansen, Military Communications Conference, 1990. MILCOM '90, Conference Record, 'A New Era'. 1990 IEEE, 30Sept.-3Oct.1990 Pages:1091 - 1096 vol.3
[3] “A New System For Measurement of Low Frequency Radio Transmitting Antenna Parameters in Near Real Time”, Steven C. Tietsworth, Instrumentation and Measurement Technology Conference, 1991.IMTC-91.Conference Record. ,8th IEEE , 14-16 May 1991 Pages:330 - 334
[4] “Multiple Tuned VLF Antennas”, Manfred Schopp, IEEE Transactions on Broadcasting, Vol. 39, No.4, December 1993.
[5] “A Multiple Tuned Multiple FED Broadband MF Antenna”, John S. Belrose, Antennas and Propagation Society International Symposium, 2002. IEEE ,Volume: 2 , 16-21 June 2002 Pages:264 - 267 vol.2
[6] “Fundamental Relations in the Design of a VLF Transmitting Antenna”, Harold A. Wheeler, Antennas and Propagation, IEEE Transactions on [legacy, pre - 1988] , Volume: 6, Issue:1, Jan1958 Pages:120 - 122
[7] “Analysis of VLF Loop Antennas on the Earth Surface for Underground Mine Communication”, A.K. Gogoi, R.Raghuram, Antennas and Propagation Society International Symposium,1996.AP-S.Digest ,Volume:2, 21-26July1996 Pages:962 - 965 vol.2
[8] “Electromagnetic Fields in Human Body Due To VLF Transmitter, Ronold W. P. King, Antennas and Propagation Society International Symposium, 1996.AP-S. Digest,Volume:3 21-26July1996 Pages:1802 - 1805 vol.3
[9] “Fundamental Limitations of a Small VLF Antenna For Submarines”, Harold A. Wheeler, Antennas and Propagation, IEEE Transactions on [legacy, pre - 1988] , Volume: 6 , Issue:1, Jan1958 Pages:123 - 125
SOME VLF PROPAGATION REFERENCES
1 Watt AD [1967], VLF Radio Engineering, Pergamon.
2 Wait JR [1970], Electromagnetic Waves in Stratified Media, Pergamon.
3 Pappert RA & Bickel JE [1970], "Vertical and Horizontal VLF Fields Excited by Dipoles of Arbitrary Orientation and Elevation", Radio Science, v35, pp1445-1452.
4 Galejs J [1972], Terrestrial Propagation of Long Electromagnetic Waves, Pergamon.
5 Field et al [1976], "Effects of Antenna Elevation and Inclination on VLF/LF Signal Structure", RADC-TR-76-375 ADA035510.
6 Ferguson JA [1995], "Ionospheric Model Validation of VLF and LF", Radio Science, v30, pp775-782.
7 Ferguson JA [1998], "Computer Programs for the Assessment of Long-Wavelength Radio Communications", SPAWARSYSCEN TD3030, SPAWAR System Center, San Diego, California. Note: Ferguson is the developer of the LWPC (Long Wave Prediction Code) that appears to be used by a large percentage of the VLF community over the last decade.
Note: JR Wait (Boulder, Colorado) has written several hundred papers on VLF propagation, more than any other single individual.
Australian Space Academy